Задать свой вопрос   *более 50 000 пользователей получили ответ на «Решим всё»

Задача 7323 Решите неравенство...

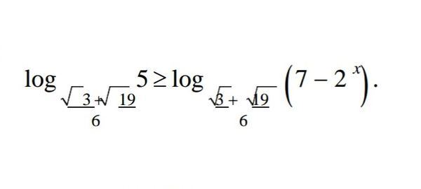
Условие

Решите неравенство log((sqrt(3)+sqrt(19))/6)5 больше или равно log((sqrt(3)+sqrt(19))/6)(7-2^x)

математика 10-11 класс 13065

Решение

ОДЗ 7-2^x > 0 => x<log27

5 больше или равно 7-2^x

5 - 7 больше или равно -2^x

-2^x меньше или равно -2

2^x больше или равно 2

x больше или равно 1

Ответ: 1 меньше или равно x < log27

Написать комментарий

Меню

Присоединяйся в ВК