Задать свой вопрос
*более 50 000 пользователей получили ответ на «Решим всё»
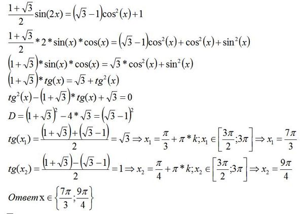
Задача 7318
((1+sqrt(3))/2)sin2x =...
Условие
idashkin
02.03.2016
((1+sqrt(3))/2)sin2x = (sqrt(3)-1)cos^2x+1, [3Pi/2; 3Pi]
математика 10-11 класс
6523
Решение
iuv
03.03.2016
★
Написать комментарий
Меню
Решим всё
Найти задачу
Категории
Статьи
Тесты
Архив задач
Присоединяйся в ВК