Задать свой вопрос
*более 50 000 пользователей получили ответ на «Решим всё»
Задача 7279
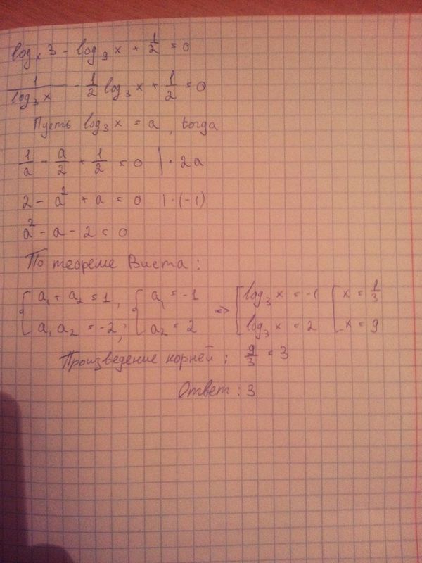
Найти корни уравнения...
Условие
Lora
02.03.2016
Найти корни уравнения log(x)3-log9x+1/2=0
математика 10-11 класс
1779
Решение
YanMarkov
03.03.2016
★
Написать комментарий
Меню
Решим всё
Найти задачу
Категории
Статьи
Тесты
Архив задач
Присоединяйся в ВК