lim (1+4x-x^4) / (x+3x^2+2x^4)
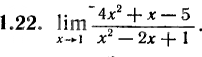
[m]lim_{x →1}\frac{4x^2+x-5}{x^2-2x+1}=\frac{4\cdot 1^2+1-5}{1^2-2\cdot 1 +1}=\frac{0}{0}[/m]- неопределенность
Раскладываем на множители
( см. разложение квадратного трехчлена на множители)
[m]4x^2+x-5=(x-1)(4x+5)[/m] так как D=1^2-4*4*(-5)=81 корни: x_(1)=-5; x_(2)=1
[m]x^2-2x+1=(x-1)^2[/m] ( формулы сокращенного умножения)
[m]=lim_{x → 1}\frac{(x-1)(4x+5)}{(x-1)(x-1)}=lim_{x → 1}\frac{4x+5}{x-1}=\frac{4\cdot 1+5}{1-1}= ∞ [/m]
(1/0) - величина обратная бесконечно малой, значит она бесконечно большая
[m]\lim_{ \to \infty }\frac{1+4x-x^4}{x+3x^2+2x^4}=[/m]
Неопределенность ( ∞ / ∞ )
Делим числитель и знаменатель на x^4:
[m]=\lim_{ \to \infty }\frac{\frac{1+4x-x^4}{x^4}}{\frac{x+3x^2+2x^4}{x^4}}=[/m]
Делим почленно, те каждое слагаемое числителя делим на [m]x^4[/m] и
каждое слагаемое знаменателя делим на [m]x^4[/m]:
[m]=\lim_{ \to \infty }\frac{\frac{1}{x^4}+\frac{4x}{x^4}-\frac{x^4}{x^4}}{\frac{x}{x^4}+\frac{3x^2}{x^4}+\frac{2x^4}{x^4}}=[/m]
[m]=\lim_{ \to \infty }\frac{\frac{1}{x^4}+\frac{4}{x^3}-1}{\frac{1}{x^3}+\frac{3}{x^2}+2}=\frac{0+0-1}{0+0+2}=-\frac{1}{2}[/m]