Задать свой вопрос
*более 50 000 пользователей получили ответ на «Решим всё»
Задача 7108
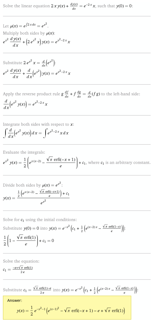
y'+2xy=xe^(-2x), y(0)=0. Найти частное...
Условие
Valeriavlr
23.02.2016
y'+2xy=xe^(-2x), y(0)=0. Найти частное решение дифференциального уравнения
математика ВУЗ
2407
Решение
slava191
23.02.2016
★
Написать комментарий
Меню
Решим всё
Найти задачу
Категории
Статьи
Тесты
Архив задач
Присоединяйся в ВК