Задать свой вопрос
*более 50 000 пользователей получили ответ на «Решим всё»
Задача 7061
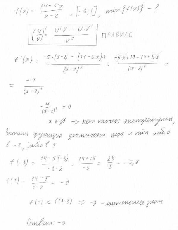
Найдите наименьшее значение функции...
Условие
slava191
20.02.2016
Найдите наименьшее значение функции f(x)=(14-5x)/(x-2) на отрезке [-3;1]
математика 10-11 класс
7601
Решение
Ответ:
-9
Написать комментарий
Меню
Решим всё
Найти задачу
Категории
Статьи
Тесты
Архив задач
Присоединяйся в ВК