Задать свой вопрос   *более 50 000 пользователей получили ответ на «Решим всё»

Задача 70061 ...

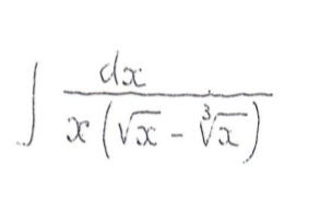
Условие

Найти интеграл ∫ dx/x(√x-∛x)

математика 230

Решение

Заменой x = y^6, тогда [m]\sqrt{x} = y^3; \sqrt[3]{x} = y^2[/m]
dx = 6y^5 dy
[m]\int \frac{6y^5\ dy}{y^6(y^3 - y^2)} = 6\int \frac{dy}{y(y^3 - y^2)}= 6\int \frac{dy}{y^3(y - 1)}[/m]
Получили интеграл от дробно-рационального выражения, который решается методом неопределённых коэффициентов.
[m]6\int \frac{dy}{y^3(y - 1)} = 6 \int (\frac{A}{y} + \int \frac{B}{y^2} + \int \frac{C}{y^3} + \int \frac{D}{y-1})\ dy[/m]
Дальше нужно привести дроби к общему знаменателю y^3(y-1).
Числитель будет выглядеть так:
Ay^2(y-1) + By(y-1) + C(y-1) + Dy^3 = 1
(A + D)y^3 + (-A + B)y^2 + (-B + C)y - С = 1
И решить систему:
{ A + D = 0
{ -A + B = 0
{ -B + C = 0
{ -C = 1
Получаем: C = -1; B = 1; A = 1; D = -1
Получаем такую сумму интегралов:
[m]6 \int (\frac{1}{y} + \frac{1}{y^2} - \frac{1}{y^3} - \frac{1}{y-1})\ dy[/m]
Они все табличные, и вы легко найдете их сами.

Написать комментарий

Меню

Присоединяйся в ВК