Задать свой вопрос
*более 50 000 пользователей получили ответ на «Решим всё»
Задача 6968
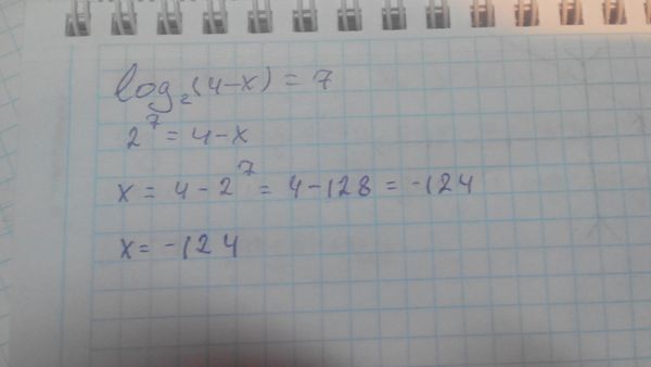
log2(4-x)=7...
Условие
Madina
16.02.2016
log2(4-x)=7
математика 10-11 класс
2868
Решение
Evgeniy-95
16.02.2016
★
Вопросы к решению (1)
Спрашивает:
u372941112
Как получили 128
Написать комментарий
Меню
Решим всё
Найти задачу
Категории
Статьи
Тесты
Архив задач
Присоединяйся в ВК