Задать свой вопрос
*более 50 000 пользователей получили ответ на «Решим всё»
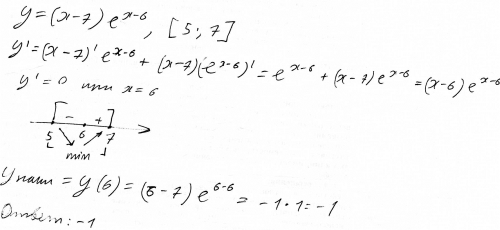
Задача 678
Найдите наименьшее значение функции...
Условие
slava191
26.02.2014
Найдите наименьшее значение функции y=(x-7)e^(x-6) на отрезке [5;7]
математика 10-11 класс
16345
Решение
Ответ:
-1
Написать комментарий
Меню
Решим всё
Найти задачу
Категории
Статьи
Тесты
Архив задач
Присоединяйся в ВК