Задать свой вопрос   *более 50 000 пользователей получили ответ на «Решим всё»

Задача 677 Найдите наименьшее значение функции...

Условие

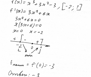
Найдите наименьшее значение функции f(x)=x^3+3x^2-3 на отрезке [-2;1]

математика 10-11 класс 21586

Решение



Ответ: -3

Вопросы к решению (2)

Написать комментарий

Меню

Присоединяйся в ВК