Задать свой вопрос   *более 50 000 пользователей получили ответ на «Решим всё»

Задача 676 Найдите наибольшее значение функции...

Условие

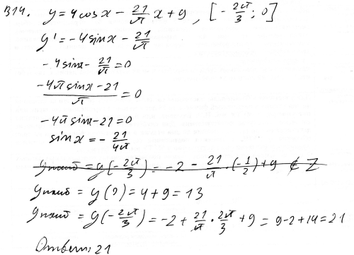
Найдите наибольшее значение функции y=4cosx-21x/Pi+9 на отрезке [-2Pi/3;0].

математика 10-11 класс 33069

Решение



Ответ: 21

Все решения

Решение:
y=4cosx-21x/p+9 yfqnb Yнаиб на отрезке [-2p/3;0]
Найдем стационарные точки: y*=-4sinx-21/p Замечаем,что y* < 0 так как |sinx| < =1.Следовательно функция убывает и наибольшее свое значение принимает на левом конце при x=-2p/3. Вычислим его: Y(-2p/3)=4*cos(-2p/3)+21/p*2p/3+9=4*(-1/2)+14+9=21
Ответ: 21.

Написать комментарий

Меню

Присоединяйся в ВК