Задать свой вопрос
*более 50 000 пользователей получили ответ на «Решим всё»
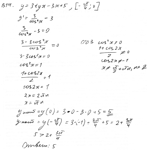
Задача 675
Найдите наибольшее значение функции...
Условие
slava191
26.02.2014
Найдите наибольшее значение функции y=3tgx-3x+5 на отрезке [-Pi/4;0]
математика 10-11 класс
98422
Решение
Ответ:
5
Написать комментарий
Меню
Решим всё
Найти задачу
Категории
Статьи
Тесты
Архив задач
Присоединяйся в ВК