Задать свой вопрос   *более 50 000 пользователей получили ответ на «Решим всё»

Задача 673 На рисунке изображен график некоторой...

Условие

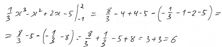
На рисунке изображен график некоторой функции y=f(x). Одна из первообразных этой функции равна F(x)=(1/3)*x^3-x^2+2x-5. Найдите площадь заштрихованной фигуры.

математика 10-11 класс 46880

Решение

Решаем по формуле Ньютона-Лейбница.

Ответ: 6

Вопросы к решению (1)

Все решения

Подставляешь вместо x=-1
потом подставляешь вместо x=2
Из большего вычитаешь меньшее. Ответ готов.

Написать комментарий

Меню

Присоединяйся в ВК