Задать свой вопрос   *более 50 000 пользователей получили ответ на «Решим всё»

Задача 6723 Решите неравенство (x^3+1)/(x+1) +...

Условие

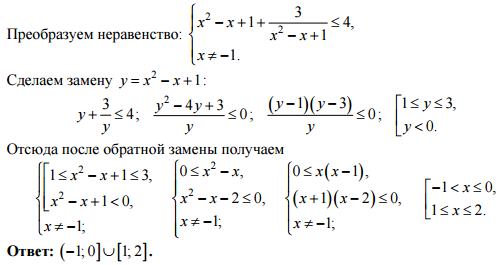
Решите неравенство (x^3+1)/(x+1) + 3/(x^2-x+1) меньше или равно 4

математика 10-11 класс 6401

Решение



Ответ: (-1;0] U [1;2]

Вопросы к решению (1)

Написать комментарий

Меню

Присоединяйся в ВК