Задать свой вопрос   *более 50 000 пользователей получили ответ на «Решим всё»

Задача 672 Решите уравнение 3sin^2x+5sinx+2=0 и...

Условие

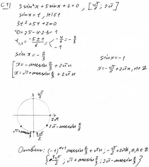
Решите уравнение 3sin^2x+5sinx+2=0 и найдите корни, принадлежащие отрезку [Pi/2;2Pi]

математика 10-11 класс 113537

Решение



Ответ: В решение

Все решения

Замена: SinX=t
3t^2 -5t -2 =0
D=(5*5) - 4*3*(-2)=25+24+49=7
t1=(5+7)/6= 12/6 =2
t2=(5-7)/6 = -2/6 = -(1/3)
Вернёмся к замене
sinX=2 или sinX=-(1/3)
x=atcsin2 + пи*n x= -arcsin 1/3 + пи*n

Написать комментарий

Меню

Присоединяйся в ВК