Задать свой вопрос   *более 50 000 пользователей получили ответ на «Решим всё»

Задача 6689 В прямоугольной трапеции ABCD с прямым...

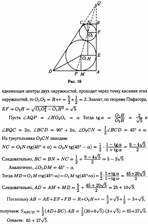
Условие

В прямоугольной трапеции ABCD с прямым углом при вершине А расположены две окружности. Одна из них касается боковых сторон и большего основания AD, вторая — боковых сторон, меньшего основания ВС и первой окружности.

а) Прямая, проходящая через центры окружностей, пересекает основание AD в точке Р. Докажите, что AP/PD = sinD.

б) Найдите площадь трапеции, если радиусы окружностей равны 5/2 и 1/2

математика 10-11 класс 18408

Решение



Ответ: 65+27sqrt(5)

Написать комментарий

Меню

Присоединяйся в ВК