Задать свой вопрос
*более 50 000 пользователей получили ответ на «Решим всё»
Задача 6682
Найдите значение выражения...
Условие
slava191
10.02.2016
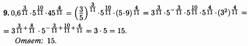
Найдите значение выражения 0,6^(3/11)*5^(10/11)*45^(4/11)
математика 10-11 класс
14957
Решение
Ответ:
15
Написать комментарий
Меню
Решим всё
Найти задачу
Категории
Статьи
Тесты
Архив задач
Присоединяйся в ВК