Задать свой вопрос   *более 50 000 пользователей получили ответ на «Решим всё»

Задача 664 a) Решите уравнение...

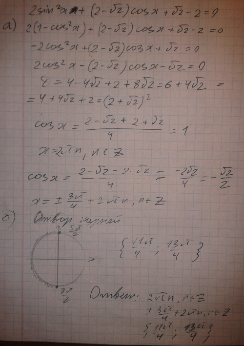
Условие

a) Решите уравнение 2sin^2x+(2-sqrt(2))cosx+sqrt(2)-2=0
б) Укажите корни, принадлежащие отрезку [5Pi/2;7PI/2]

математика 10-11 класс 50673

Решение



Ответ: В решение

Вопросы к решению (1)

Написать комментарий

Меню

Присоединяйся в ВК