Задать свой вопрос   *более 50 000 пользователей получили ответ на «Решим всё»

Задача 6620 В параллелограмме ABCD cosA=sqrt(51)/10....

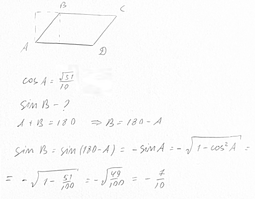
Условие

В параллелограмме ABCD cosA=sqrt(51)/10. Найдите sinB

математика 10-11 класс 21675

Решение

У меня получилось -7/10

Все решения

сумма углов В и С =180
наверное. нужно применить формулы приведения:

из точки в проводим высоту H к стороне АД,косинус это отношение ав к ан,тоесть ав равно 10,а ан равно 51 синус угла в это отношение ан к ав,тоесть тоже 51/10

Написать комментарий

Меню

Присоединяйся в ВК