Задать свой вопрос
*более 50 000 пользователей получили ответ на «Решим всё»
Задача 661
Найти наибольшее значение функции...
Условие
slava191
23.02.2014
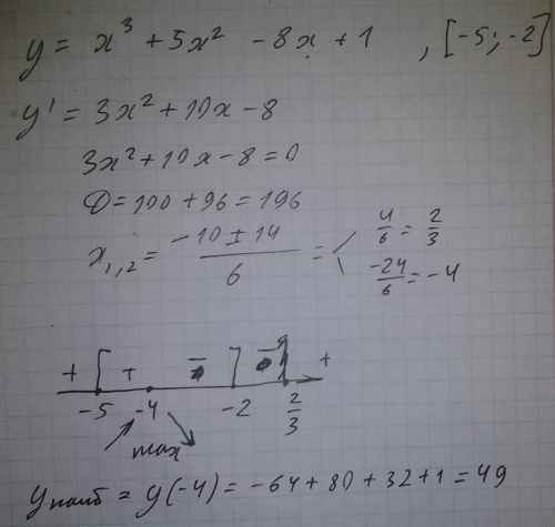
Найти наибольшее значение функции y=x^3+5x^2-8x+1 на отрезке [-5;-2].
математика 10-11 класс
11758
Решение
Ответ:
49
Написать комментарий
Меню
Решим всё
Найти задачу
Категории
Статьи
Тесты
Архив задач
Присоединяйся в ВК