Задать свой вопрос   *более 50 000 пользователей получили ответ на «Решим всё»

Задача 6536 В сосуд, имеющий форму конуса,налито 10...

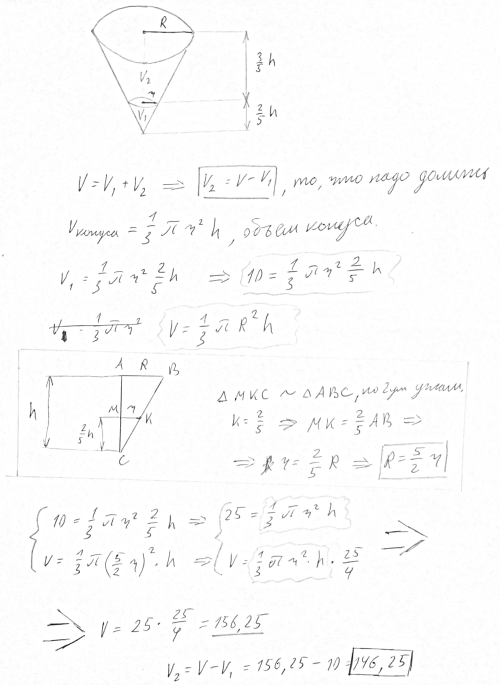
Условие

В сосуд, имеющий форму конуса,налито 10 мл жидкости,при этом уровень жидкости достигает 2/5 высоты сосуда. Сколько миллилитров жидкости нужно долить,чтобы полностью наполнять сосуд.

математика 10-11 класс 15616

Решение

Написать комментарий

Меню

Присоединяйся в ВК