Задать свой вопрос   *более 50 000 пользователей получили ответ на «Решим всё»

Задача 6420 Найдите все значения параметра, при...

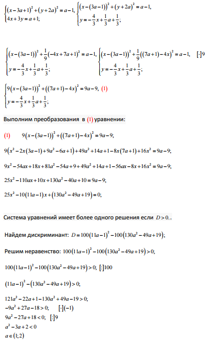
Условие

Найдите все значения параметра, при каждом из которых система уравнений имеет более одного решения.

system{(x-3a+1)^2+(y+2a)^2=a-1;4x+3y=a+1}

математика 10-11 класс 12848

Решение



Ответ: В решение

Написать комментарий

Меню

Присоединяйся в ВК