Задать свой вопрос
*более 50 000 пользователей получили ответ на «Решим всё»
Задача 63668
...
Условие
6204aaca0939d027669c90d0
16.03.2022 14:44:00
7. Вычисление определённых интегралов
π/2
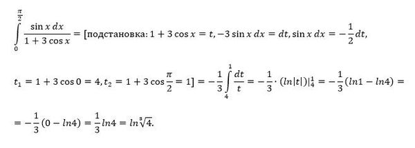
∫ sin x dx / (1 + 3 cos x)
0
математика колледж
228
Решение
5f3eaa23faf909182968dde0
16.03.2022 14:57:03
★
Написать комментарий
Меню
Решим всё
Найти задачу
Категории
Статьи
Тесты
Архив задач
Присоединяйся в ВК