Задать свой вопрос   *более 50 000 пользователей получили ответ на «Решим всё»

Задача 6335 Напишите уравнения реакций, с помощью...

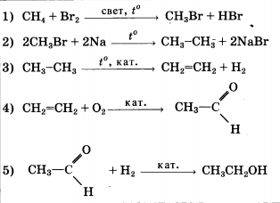
Условие

Напишите уравнения реакций, с помощью которых можно осуществить следующие превращения:

метан --(Br2)--> X1 --(Na)--> X2 -> этен -> этаналь -> этанол

При написании уравнений реакций используйте структурные формулы органических соединений.

химия 10-11 класс 12223

Решение



Ответ: В решение

Написать комментарий

Меню

Присоединяйся в ВК