Задать свой вопрос
*более 50 000 пользователей получили ответ на «Решим всё»
Задача 63349
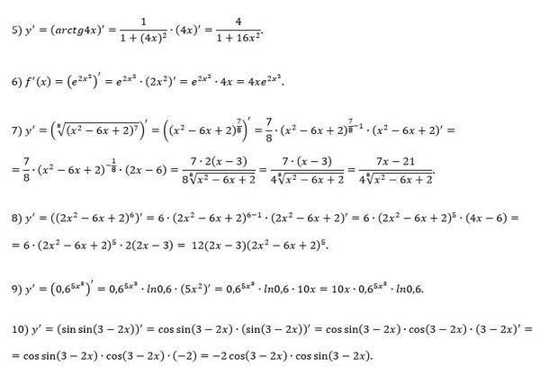
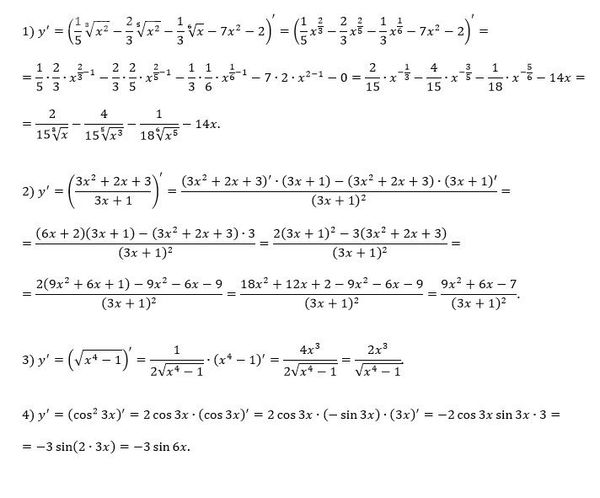
вычислить производную функций...
Условие
620fdb46c1d3ea2cf1a26e73
24.02.2022 17:31:40
вычислить производную функций
математика колледж
213
Решение
5f3eaa23faf909182968dde0
24.02.2022 20:17:39
★
Написать комментарий
Меню
Решим всё
Найти задачу
Категории
Статьи
Тесты
Архив задач
Присоединяйся в ВК