Задать свой вопрос
*более 50 000 пользователей получили ответ на «Решим всё»
Задача 62915
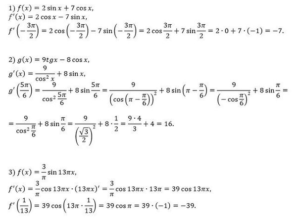
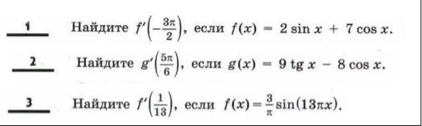
Вычисление производных. ...
Условие
606c7326286699463e3090c4
30.01.2022 11:10:34
Вычисление производных.
математика 10-11 класс
252
Решение
5f3eaa23faf909182968dde0
30.01.2022 21:33:45
★
Написать комментарий
Меню
Решим всё
Найти задачу
Категории
Статьи
Тесты
Архив задач
Присоединяйся в ВК