Задать свой вопрос   *более 50 000 пользователей получили ответ на «Решим всё»

Задача 629 Длина высоты SO правильной треугольной...

Условие

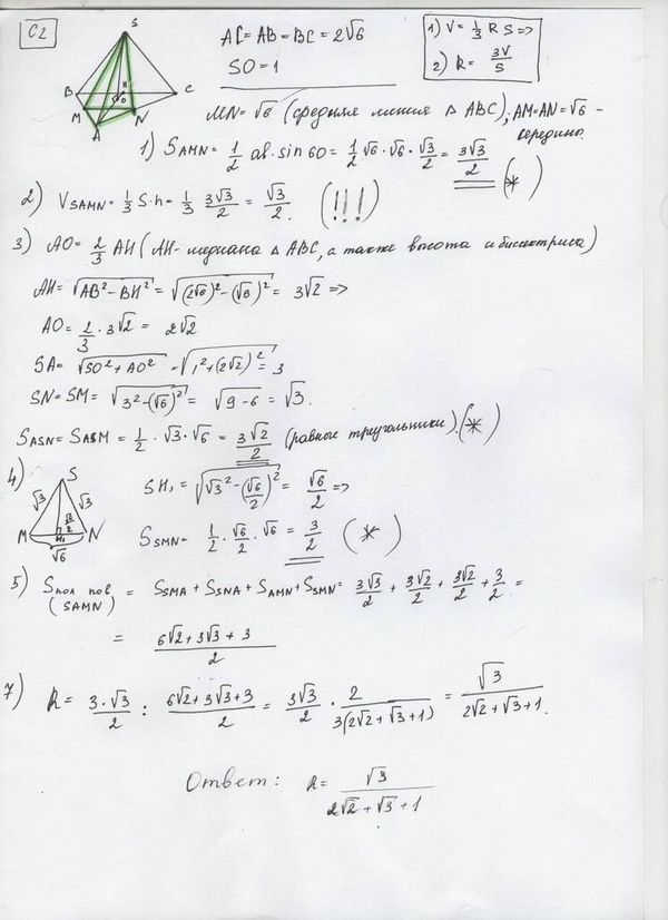
Длина высоты SO правильной треугольной пирамиды SABC равна 1, а длины сторон основания ABC равны 2sqrt(6). Точки M и N - середины отрезков AC и AB. Вычислите радиус сферы, вписанной в пирамиду SAMN.

математика 10-11 класс 4954

Решение



Ответ: в решение

Написать комментарий

Меню

Присоединяйся в ВК