Задать свой вопрос   *более 50 000 пользователей получили ответ на «Решим всё»

Задача 621 Решить уравнение sin3x+sin4x+sin5x=0...

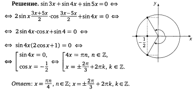
Условие

Решить уравнение sin3x+sin4x+sin5x=0

математика 10-11 класс 18501

Решение



Ответ: В решение

Вопросы к решению (1)

Все решения

Написать комментарий

Меню

Присоединяйся в ВК