Задать свой вопрос
*более 50 000 пользователей получили ответ на «Решим всё»
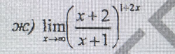
Задача 61720
Посчитать лим...
Условие
619ab17e8ad52070a870b49c
22.11.2021 14:45:19
Посчитать лим
математика колледж
187
Решение
5f3eaa23faf909182968dde0
22.11.2021 15:01:22
★
Написать комментарий
Меню
Решим всё
Найти задачу
Категории
Статьи
Тесты
Архив задач
Присоединяйся в ВК