Задать свой вопрос
*более 50 000 пользователей получили ответ на «Решим всё»
Задача 61701
...
Условие
619aa756676c475541947163
21.11.2021 23:18:46
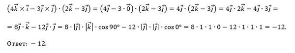
5. Обчислити ( 4k×i-3j×j )×(2k-3j)
математика ВУЗ
228
Решение
5f3eaa23faf909182968dde0
22.11.2021 09:51:15
★
Написать комментарий
Меню
Решим всё
Найти задачу
Категории
Статьи
Тесты
Архив задач
Присоединяйся в ВК