Задать свой вопрос   *более 50 000 пользователей получили ответ на «Решим всё»

Задача 61070 напишите уравнение прямой , что...

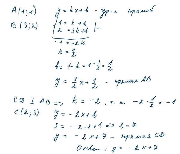
Условие

напишите уравнение прямой , что проходит через точку С (2,3), перпендикулярно прямой АВ
A(1,1) B (3,2)

математика ВУЗ 222

Решение

Написать комментарий

Меню

Присоединяйся в ВК