Задать свой вопрос
*более 50 000 пользователей получили ответ на «Решим всё»
Задача 602
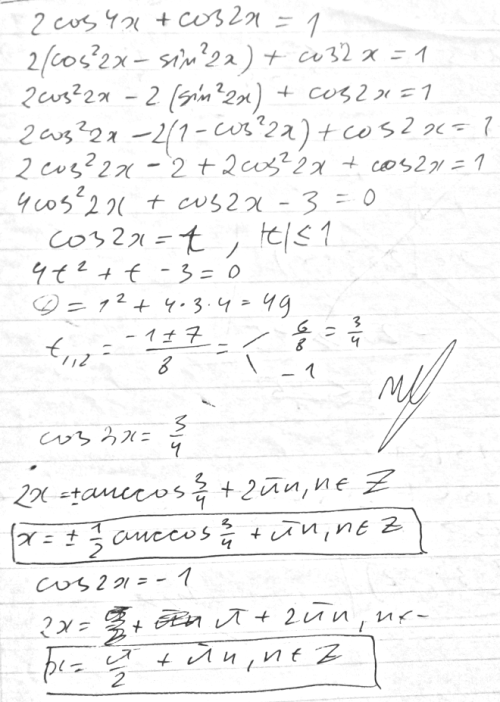
Решить уравнение 2cos4x+cos2x=1...
Условие
slava191
10.02.2014
Решить уравнение 2cos4x+cos2x=1
математика 10-11 класс
11309
Решение
Ответ:
в решением
Написать комментарий
Меню
Решим всё
Найти задачу
Категории
Статьи
Тесты
Архив задач
Присоединяйся в ВК