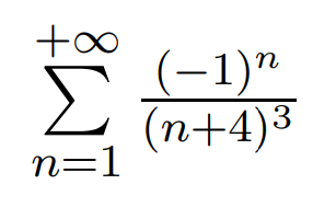
1) [m] \frac{1}{(n+4)^3} >\frac{1}{(n+5)^3}> \frac{1}{(n+6)^3} >....[/m]
Знаменатель меньше - дробь больше
Или
[m] (\frac{1}{(n+4)^3})^{ ∞}_{0} [/m] - убывающая последовательность, потому что
[m]f(x)=\frac{1}{(x+4)^3}[/m] - убывающая функция, так как [m]f`(x)=-\frac{1}{(x+4)^2}<0[/m] при x >0
2)[m] (\frac{1}{(n+4)^3}) → 0 [/m] при n → ∞
Ряд из модулей сходится, это обобщенный гармонический ряд
∑ [m](\frac{1}{(n+4)^3})[/m]
(p=3>1)
О т в е т. Сходится абсолютно