Задать свой вопрос   *более 50 000 пользователей получили ответ на «Решим всё»

Задача 59873 ...

Условие

найти неопределенные интегралы с небольшим пояснением

10.22. ∫ (x^3 - x + 2) / (x^2 (x^2 + 1)) dx

11.22. ∫ x / (x^4 - 3x^2 + 2) dx

12.22. ∫ (2x^3 - x - 6x) / (x^3 + 2x^2) dx

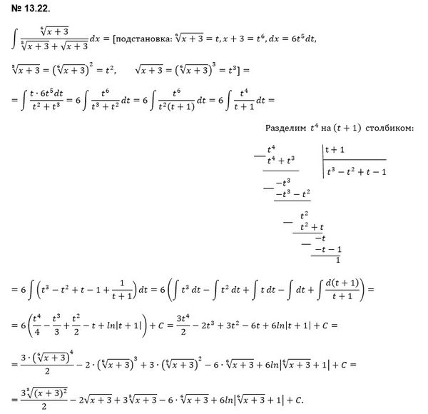
13.22. ∫ ..

математика ВУЗ 271

Решение

Написать комментарий

Меню

Присоединяйся в ВК