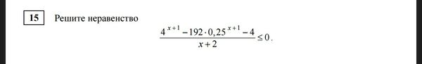
Условие
Решите неравенство (4^(x+1)-192*0,25^(x+1)-4)/(x+2) < 0
математика 10-11 класс
14191
Решение
Надо найти все точки смены знака (в которых либо числитель либо знаменатель обращается в 0). Преобразовываем числитель и находим, что точка смены знака там х =1, в знаменателе точка смены знака х = -2, наносим обе точки на числовую прямую и расставляем знаки.
Ответ от [-2, 1) ответ верный, проверил на компьютере.
Все решения
у меня немного другой метод решения, но суьи дела не меняет - ответ тот же.
одно ''но'': одз надо делать обязательно, насколько мне известно.

Написать комментарий