Задать свой вопрос
*более 50 000 пользователей получили ответ на «Решим всё»
Задача 5923
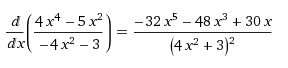
Найдите производную функцию...
Условие
sashka2005
18.01.2016
Найдите производную функцию y=4x^4-5x^2/-4x^2-3
математика ВУЗ
2307
Решение
slava191
02.02.2016
★
Написать комментарий
Меню
Решим всё
Найти задачу
Категории
Статьи
Тесты
Архив задач
Присоединяйся в ВК