Задать свой вопрос   *более 50 000 пользователей получили ответ на «Решим всё»

Задача 5918 sin^4(x/4)-cos^4 (x/4)=1/2...

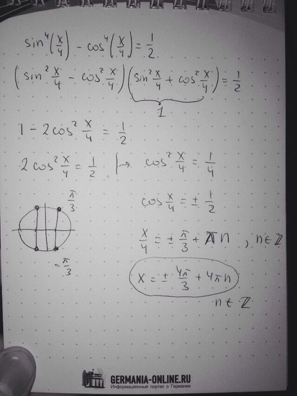
Условие

sin^4(x/4)-cos^4 (x/4)=1/2

математика 10-11 класс 2967

Решение

По формуле разности квадратов, потом в первой скобке переходим только к косинусам, а вторая скобка равна 1.
А далее уже все стандартно.

Написать комментарий

Меню

Присоединяйся в ВК