Задать свой вопрос
*более 50 000 пользователей получили ответ на «Решим всё»
Задача 59170
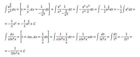
Помогите пожалуйста ...
Условие
5feab6d3960c3c35933d8133
10.04.2021 07:04:50
Помогите пожалуйста
математика
284
Решение
602b98c03cfdeb46290c96fb
10.04.2021 11:26:36
★
Написать комментарий
Меню
Решим всё
Найти задачу
Категории
Статьи
Тесты
Архив задач
Присоединяйся в ВК