Задать свой вопрос   *более 50 000 пользователей получили ответ на «Решим всё»

Задача 5911 Решить уравнение cos(x/5)=1/2) Решить...

Условие

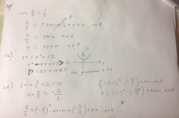
Решить уравнение cos(x/5)=1/2)

Решить неравенство 8x меньше x^2+17

Решить уравнение 2sin(x/2)+sqrt(3)=0

математика 10-11 класс 3372

Решение

Написать комментарий

Меню

Присоединяйся в ВК