Задать свой вопрос
*более 50 000 пользователей получили ответ на «Решим всё»
Задача 5903
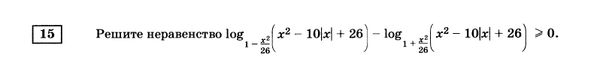
log1-x^2/26(x^2-10|x|+26)-log1+x^2/26(x^2-10|x|+26)>=0...
Условие
lyuba.rest
17.01.2016
log1-x^2/26(x^2-10|x|+26)-log1+x^2/26(x^2-10|x|+26)>=0
математика 10-11 класс
3061
О решение...
На нашем сайте такое бывает редко, но решение к данной задаче еще никто не написал.
Что Вы можете сделать?
Выставите данный вопрос вновь. Перейдите на
главную страницу
.
Найдите похожую задачу. Используйте
поиск
.
Написать комментарий
Меню
Решим всё
Найти задачу
Категории
Статьи
Тесты
Архив задач
Присоединяйся в ВК