Задать свой вопрос
*более 50 000 пользователей получили ответ на «Решим всё»
Задача 5877
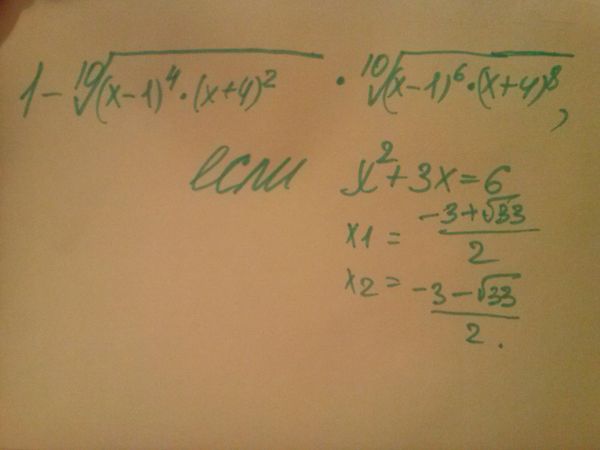
Вычислить...
Условие
lora
14.01.2016
Вычислить
математика 10-11 класс
1250
Решение
KseniyaLapa
26.01.2016
★
Написать комментарий
Меню
Решим всё
Найти задачу
Категории
Статьи
Тесты
Архив задач
Присоединяйся в ВК