Задать свой вопрос
*более 50 000 пользователей получили ответ на «Решим всё»
Задача 58705
...
Условие
5fe4e1c01c6d1142ab517c99
23.03.2021 19:56:33
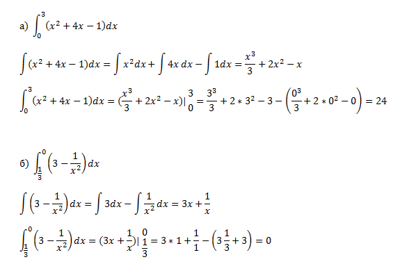
Помогите пожалуйста вычислить интегралы
a) ∫₀³ (x² + 4x - 1) dx
b) ∫₁/₃¹ (3 - 1/x²) dx
математика 10-11 класс
281
Решение
602b98c03cfdeb46290c96fb
23.03.2021 20:47:21
★
Написать комментарий
Меню
Решим всё
Найти задачу
Категории
Статьи
Тесты
Архив задач
Присоединяйся в ВК