Задать свой вопрос   *более 50 000 пользователей получили ответ на «Решим всё»

Задача 5861 Случайные величины X и У независимы и...

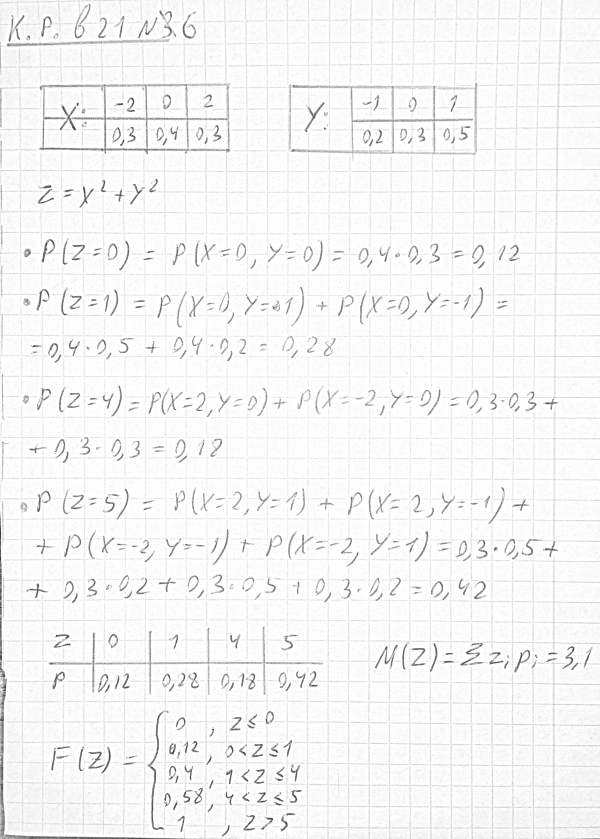
Условие

Случайные величины X и У независимы и распределены по следующим законам (таблицы). Найти ряд распределения, функцию распределения и математическое ожидание случайной величины Z=X^2+Y^2

математика ВУЗ 4259

Решение



Ответ: В решение

Написать комментарий

Меню

Присоединяйся в ВК