Задать свой вопрос   *более 50 000 пользователей получили ответ на «Решим всё»

Задача 5859 Устройство состоит из 4 независимо...

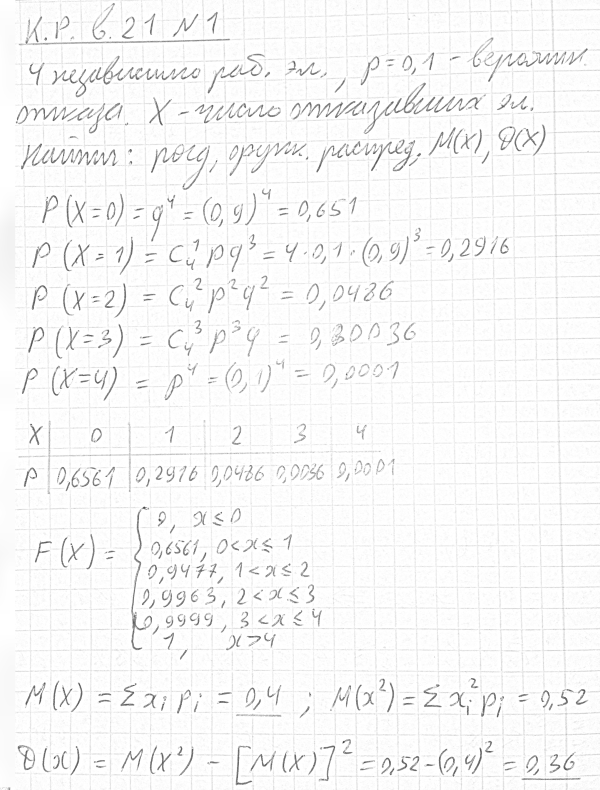
Условие

Устройство состоит из 4 независимо работающих элементов. Вероятности отказов каждого из элементов одинаковы и равны p=0,1. Случайная величина X - число отказавших элементов. Найти ряд распределения и функцию распределения случайной величины X, ее математическое ожидание и дисперсию.

математика ВУЗ 10777

Решение



Ответ: В решение

Написать комментарий

Меню

Присоединяйся в ВК