Задать свой вопрос   *более 50 000 пользователей получили ответ на «Решим всё»

Задача 5854 Найти вероятность того, что переданный...

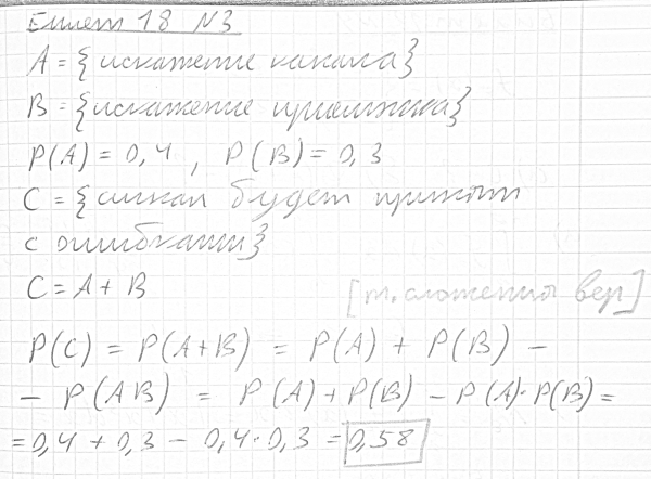
Условие

Найти вероятность того, что переданный по каналу связи и принятый приемником сигнал будет принят с ошибками, если вероятность искажения сигнала этим каналом равна 0,4, а вероятность искажения этим приемником равна 0,3.

математика ВУЗ 2199

Решение



Ответ: В решение

Написать комментарий

Меню

Присоединяйся в ВК