Задать свой вопрос   *более 50 000 пользователей получили ответ на «Решим всё»

Задача 5853 Плотность распределения вероятности f(x)...

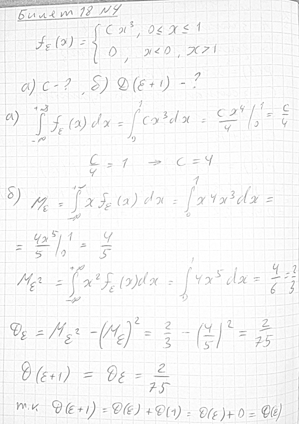
Условие

Плотность распределения вероятности f(x) задана выражением: system{Cx^3, 0 меньше или равно x меньше или равно 1; 0, x<0 x>1}

Найти: а) константу C; б) дисперсию случайной величины e+1

математика ВУЗ 3361

Решение



Ответ: В решение

Написать комментарий

Меню

Присоединяйся в ВК