Задать свой вопрос   *более 50 000 пользователей получили ответ на «Решим всё»

Задача 5852 Случайные величины X и Y имеют...

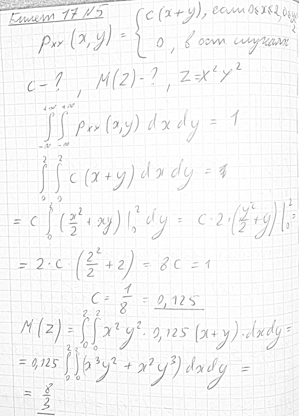
Условие

Случайные величины X и Y имеют совместную плотность распределения. Найти константу c а также математическое ожидание случайной величины Z=X^2Y^2.

математика ВУЗ 3545

Решение



Ответ: В решение

Написать комментарий

Меню

Присоединяйся в ВК