Задать свой вопрос   *более 50 000 пользователей получили ответ на «Решим всё»

Задача 5843 Решите систему неравенств ...

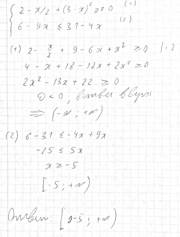
Условие

Решите систему неравенств
2-x/2+(3-x)^2>(=)0
6-9x<(=)31-4x

физика 8-9 класс 14603

Решение

Мне кажется, я мог не правильно переписать первое неравенство, ибо слишком просто решается.

Ошибки в решение (1)

Написать комментарий

Меню

Присоединяйся в ВК