Задать свой вопрос   *более 50 000 пользователей получили ответ на «Решим всё»

Задача 58383 ...

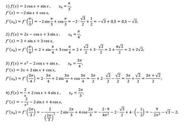
Условие

44.2. Найдите значение производной функции в точке x_0:
1) f(x) = 2cosx + sinx, x_0 = π/3;
2) f(x) = 2x - cosx + 3sinx, x_0 = π/4;
3) f(x) = x^2 - 2cosx + sinx, x_0 = 3π/4;
4) f(x) = 2/x + 2cosx + 4sinx, x_0 = 2π/3.

математика 10-11 класс 799

Решение

Написать комментарий

Меню

Присоединяйся в ВК