Задать свой вопрос   *более 50 000 пользователей получили ответ на «Решим всё»

Задача 58382 ...

Условие

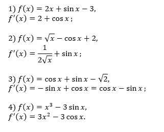
641. Найдите производную функции:

1) f(x) = 2x + sinx - 3;

2) f(x) = √x - cosx + 2;

3) f(x) = cosx + sinx - √2;

4) f(x) = x³ - 3sinx.

математика 10-11 класс 411

Решение

Написать комментарий

Меню

Присоединяйся в ВК